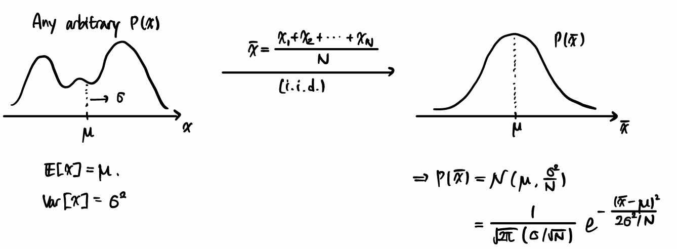
중심극한정리(central limit theorem, CLT)는 큰 수의 법칙과 함께 통계학의 기반이 되는 대표적인 정리이다. 또한, 정규분포의 중요성을 보여주는 정리이기도 하다.

중심극한정리가 말하는 것은, 그 어떤 임의의 확률분포도 이 분포로부터 추출한 값의 평균의 분포는 정규분포로 수렴한다는 것이다.

증명


Lemma:

Moment Generating Function (MGF) 가 다음과 같을 때,

다음을 만족한다.

  • Lemma 1:
  • Lemma 2:

  • Cumulant Generating Function와 같이 정의할 수 있다. 이 함수는 다음의 특징을 가진다.
    • (일계미분 시 기댓값을 생성(generate)한다)
    • (이계미분 시 분산을 생성한다)

정의에 대한 설명과 보조정리의 증명은 각 문서 참조.